斑马鱼社交行为实验

发布时间:2024-07-19 17:45:32 来源:上海贝丝检测 浏览:1010次

      上海贝丝检测,提供斑马鱼科研实验/功效实验/毒理学实验,电镜服务/外泌体检测鉴定服务,蛋白/代谢组学服务、分子细胞毒理学/细胞功能检测、基因检测等项目,专业团队,高效准确,国际认可。咨询热线:18221805197 (微信同号) 


斑马鱼广泛应用于精神类药物实验。斑马鱼和人类的大脑尽管在结构上存在较大差别,但是其功能结构却是高度的保守,尤其在一定条件下产生和调控焦虑,激怒,恐惧的分子机制与人类高度类似。斑马鱼幼鱼对药物的敏感性可为神经系统的药物评估提供有价值的信息。

 

【实验周期】

斑马鱼社交行为实验,周期一般为1周-2周,具体要结合实验方案来定。斑马鱼行为学咨询 18221805197(微信同号)

 

【实验案例】


社交偏好行为实验模式图(Limor Ziv et al. Mol Psychiatry.2013)

 

1,浅滩测试

斑马鱼被记录在一个充满10厘米水的3室装置中(60厘米 × 20厘米 × 20厘米)。中央较大的房间(30 cm × 20 cm)容纳了整个测试(30分钟)的受试者。其中一个侧室(15 cm×20 cm)容纳了一组同种动物作为社交刺激,而另一个侧室(15 cm×20 cm)则留空作为对照。每个侧室均由荧光白光灯管照明,以确保刺激的高可见度。最初测试了15条斑马鱼以及3个同种鱼作为社交刺激。使用视频记录记录,实验者对受试者靠近同种动物(2个身体长度以内)所花费的时间进行评分,并使用相同的距离标准,对靠近空区域所花费的时间进行评分。这些措施用于计算浅滩偏好的比例指数:接近刺激的时间/(接近刺激的时间 + 接近空区域的时间)。因为受试者也可以在装置的中央、没有选择的部分度过时间。 与早期测试所使用的方法一致,该因变量是空间偏好的度量。然而,由于中央无选择区域,两个选择区域之间的距离可能会出现问题,因为活动度低的鱼可能不会注意到远处的刺激。因此,实验者还监测了一种活动测量,包括计算每个受试者在选择的区域之间进行的切换(即,更活跃的鱼会更频繁地在区域之间切换)。 数据以1分钟的时间间隔收集。

2,八角镜测试

使用带有镜面壁的八角形装置进行了镜子测试,覆盖每面墙壁的镜子为17厘米×15厘米,装置中的水深8厘米。装置墙壁周围放置的LED灯带确保均匀的照明。将镜子装置放置在背光台上(红外LED λ > 980 nm)以允许自动追踪斑马鱼。测试过程从释放设备中心的个体受试者开始,同时开始记录。然后在整个测试期间(30分钟)让鱼不受干扰。当小型群居鱼将它们的镜像视为同种动物时,它们通常倾向于在镜子附近游泳。跟踪软件计算每个受试者在距离镜子1个身体长度范围内所花费的时间(以1分钟的时间段为单位)。
 

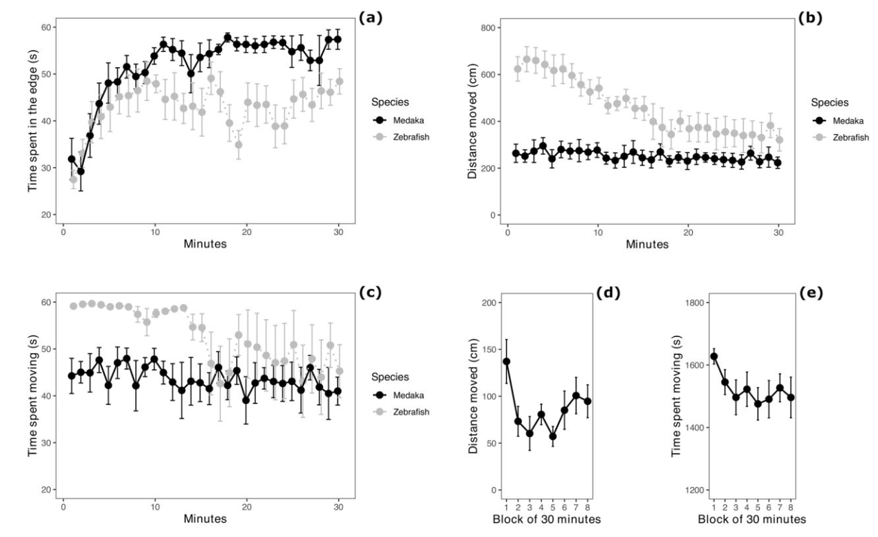
(a)趋动性以靠近边缘的时间来衡量,分为1分钟的区间;

(b)以移动距离衡量的活动,分为1分钟的区间;

(c)以移动所花费的时间来衡量的活动,分为1分钟的区间;

(d)根据延长测试时间(4小时)测试的移动距离测量的活性,分为30分钟的区间,以便在标准测试时间(30分钟)和延长测试时间之间进行比较;

(e)在延长测试时间(4小时)下测试中移动所花费的时间来测量活动,分为30分钟的区间,以便在标准测试时间(30分钟)和延长测试时间之间进行比较。


【应用场景】

斑马鱼社交行为实验,主要研究化合物对斑马鱼焦虑,抑郁等精神疾病的影响。

 

如您有关于斑马鱼免疫荧光技术服务的问题,可直接咨询我们18221805197 (微信同号)

 

我们的优势

 

相关文章
友情链接: 贝丝检测

Copyright (c) 2024 - 上海贝丝检测技术有限公司    备案号:沪ICP备2024044197号-1    网站地图